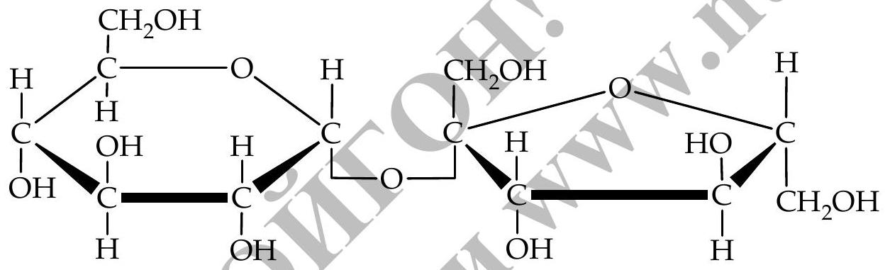
Формулаи кадом карбохидрат дода шудааст? 
Нодуруст
Боз кӯшиш кунед! Агар кӯмак лозим бошад, маслиҳат ё назарияро истифода баред.
Hushyor AI материал тайёр мекунад...
Ҷавоби дуруст!
Шумо ба даст овардед
+0 XP
Ҷавоби дуруст:
Не расстраивайтесь, попробуйте ещё раз!
Кӯшиш
1
Эта задача будет показана снова в конце для повторения
Тестҳоро тезтар ва бе интернет ҳал кунед
Дар iPhone насб кунед:
Пахш кунед ⬆️ дар поён, сипас «Ба экрани асосӣ»